Nova: An Iterative Planning and Search Approach to Enhance Novelty and Diversity of Large Language Model (LLM) Generated Ideas
Innovation in science is essential to human progress because it drives developments in a wide range of industries, including technology, healthcare, and environmental sustainability. Large Language Models (LLMs) have lately demonstrated potential in expediting scientific discovery by generating research ideas due to their extensive text-processing capabilities. However, because of their limitations in terms of gathering and applying outside knowledge, current LLMs frequently fail to generate truly innovative ideas. These approaches often provide concepts that are overly straightforward, repetitious, or unoriginal if there is no efficient method for integrating varied insights. This is mostly due to their propensity to depend on preexisting data patterns rather than actively studying and combining fresh, pertinent data.
In order to overcome this limitation, a team of researchers has improved their planning and search techniques to optimize LLMs’ capacity for scientific idea production. In order to direct the LLM’s retrieval of external knowledge in a way that intentionally broadens and deepens its comprehension, this methodology has presented an organized, iterative approach. This method attempts to get over the limited knowledge paths present in conventional LLM outputs by methodically obtaining and incorporating new ideas from a variety of research sources.
The structure operates in multiple stages. Initially, it begins with a collection of seed ideas that the model produces using fundamental scientific discovery techniques. The exploring process begins with these preliminary concepts. The framework then moves into a cycle of planning and searching rather than letting the LLM continue aimlessly. The LLM is responsible for creating a focused search strategy for each cycle that aims to find research articles, theories, or discoveries that could enhance the existing concepts. By using a structured search strategy, the model is forced to incorporate increasingly complex and diverse viewpoints rather than straying into recurring patterns. Every iteration improves upon earlier cycles, strengthening the concepts’ uniqueness and refinement.
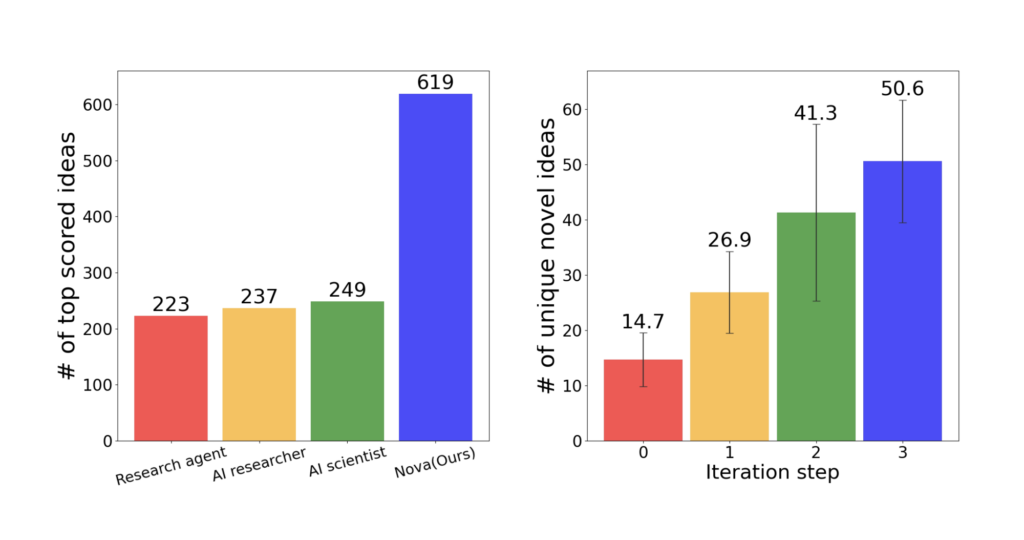
This method has been thoroughly validated using both automated tests and human reviewer reviews. The findings have indicated that the framework considerably improves the caliber of concepts produced by LLMs, especially with regard to originality and diversity. For example, when this iterative planning framework is used, the model generates 3.4 times as many original and creative ideas as when it is not used. A Swiss Tournament evaluation based on 170 scientific articles from significant conferences was used to test the methodology thoroughly. Ideas were ranked according to their quality and uniqueness using this evaluation method, and the iterative framework produced at least 2.5 times as many top-rated ideas as the state-of-the-art approaches.
This iterative framework’s emphasis on broadening the breadth and applicability of knowledge retrieval is essential to its success. Conventional approaches usually rely on entity or keyword-based retrieval without a clear innovation objective, which frequently produces generic data that doesn’t inspire fresh concepts. This new method, on the other hand, makes sure that every idea generation cycle is directed by a specific goal in order to improve the model’s creative output and expand its understanding. In addition to broadening the body of information, this planning-centered strategy synchronizes every phase of knowledge acquisition with the objective of generating original, high-caliber research ideas.
LLMs become more useful instruments for scientific discovery because of this organized framework. Giving models the ability to systematically study and incorporate pertinent information allows them to generate concepts that are both original and significant in certain study contexts. This development in the LLM technique has the potential to transform research disciplines by giving researchers a more comprehensive range of initial inspirations and insights to tackle challenging issues. This framework has enormous promise and holds up the prospect of a time when AI-powered idea generation will be a crucial tool for scientific research and development.
Check out the Paper. All credit for this research goes to the researchers of this project. Also, don’t forget to follow us on Twitter and join our Telegram Channel and LinkedIn Group. If you like our work, you will love our newsletter.. Don’t Forget to join our 55k+ ML SubReddit.
[Upcoming Live Webinar- Oct 29, 2024] The Best Platform for Serving Fine-Tuned Models: Predibase Inference Engine (Promoted)
Tanya Malhotra is a final year undergrad from the University of Petroleum & Energy Studies, Dehradun, pursuing BTech in Computer Science Engineering with a specialization in Artificial Intelligence and Machine Learning.She is a Data Science enthusiast with good analytical and critical thinking, along with an ardent interest in acquiring new skills, leading groups, and managing work in an organized manner.
